2021: July 11
Letter to CA DOJ
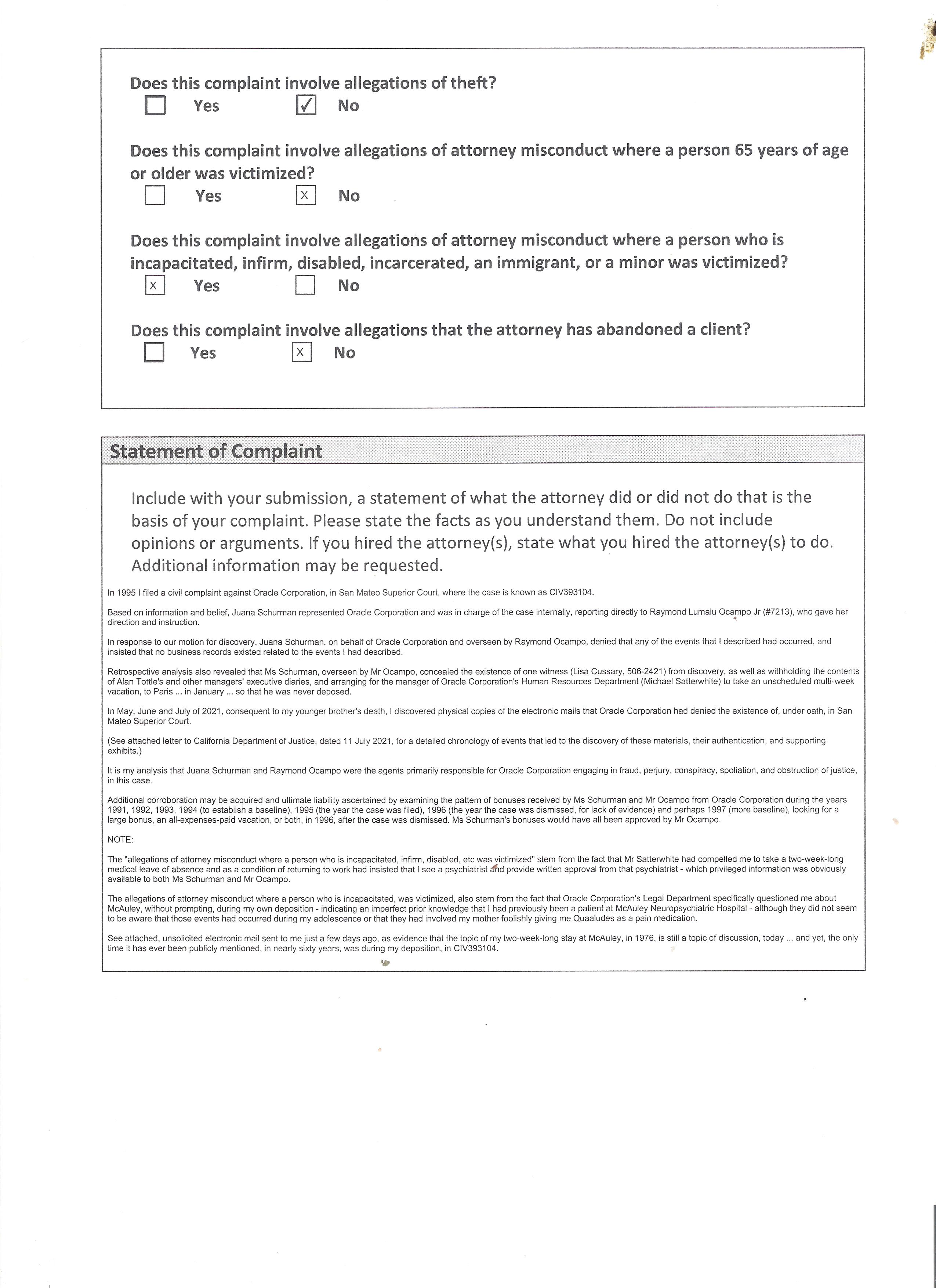
• Introduction
• Conclusion
• Witnesses
2022: January 13
Bar Complaint
• Cover letter
• Juana Schurman
• Raymond Ocampo
• Threatening email
Home
Related
: Inspired by Oracle?
Woman accused of stealing her
mother's will & deed to house
Related
:
Salanave-Runyon
conservator suspected of
embezzling from trust
NEXT:
California State Bar complaint against Juana Maria Schurman, page 3 of 3